https://hostmaster.org/postings/1735375038506428021
Home
|
Articles
|
Postings
|
Weather
|
Top
|
Trending
|
Status
Login
ΩΨ±ΩΨ― π΅πΈππ»
2024-12-28 08:37:18Z
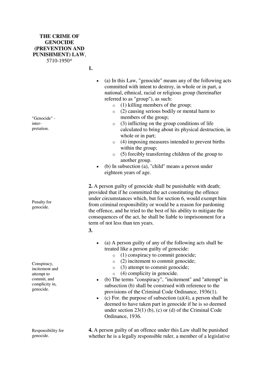
@drr_palestine Israeli law is quite unambigous in this case...
Impressions: 91